Le lien étroit entre le calcium et la vitamine D s’explique par le fait que cette dernière est l’élément clé pour que le corps assimile le premier. Résultat : une densité minérale osseuse optimale, autrement dit, qui éloigne les problèmes liés à une carence en calcium, le minéral le plus abondant dans l’organisme humain.
Sommaire
Quel lien existe-t-il entre la densité minérale osseuse et l’ostéoporose ?
Pour mieux comprendre la nature et l’étendue de ce lien, pars du principe que le tissu osseux de ton corps est composé de matériau hétérogène. Ainsi, en ordre décroissant, tu as :
- Une couche minérale, hydroxyapatite (formée de phosphate de calcium cristallin)
- Une couche organique (∼90 % collagène de type I, ∼5 % protéines non collagéniques (NCPs), ∼2 % lipides)
- De l’eau
Qu’est-ce que la densité minérale osseuse ? C’est la quantité de masse minérale présente dans un volume osseux donné, et c’est la pierre angulaire de la santé et de la résistance du tissu.
Sache qu’avec l’âge, la densité minérale osseuse a tendance à diminuer. Cette condition s’appelle ostéopénie, une sorte de remodelage négatif des os qui peut déboucher sur une autre condition connue sous le nom d’ostéoporose, caractérisée par une diminution de la densité osseuse, tandis que le tissu osseux devient fragile et susceptible de se fracturer.
Quel rôle joue le calcium ?
Le calcium est un macroélément dont 99 % se trouve dans le tissu osseux de ton organisme. Parmi ses fonctions les plus remarquables, on compte être un “messager” intracellulaire et un régulateur hormonal, tout en assurant des fonctions structurelles sur l’os.
Tu peux donc mesurer l’importance extrême de la consommation de calcium pour la densité minérale osseuse. Ce n’est pas pour rien que cette consommation génère un bilan positif (rétention de calcium), lié au maintien (et même à l’augmentation) de la densité minérale osseuse, une condition déterminante pour la santé des os, comme nous l’avons déjà expliqué.
Sources
Concernant les principales sources de calcium : ce sont le lait et les produits laitiers, comme on peut s’y attendre, mais aussi les poissons avec arêtes, les fruits secs, les légumineuses et certains fruits et légumes.
Apport Journalier Recommandé
Pour ce qui est de l’Apport Journalier Recommandé, il est fixé autour de 900 mg par jour pour les hommes à partir de 18 ans et de 1.000 mg par jour pour les enfants et adolescents <18 ans, les femmes et les hommes >60 ans. Ceci selon les AJR espagnoles.

Et la vitamine D ?
Pour la vitamine D, celle qui vient du soleil, on peut déjà te dire que c’est un nutriment liposoluble dont la population européenne souffre d’une carence généralisée et dont la fonction dans le métabolisme du calcium est absolument indispensable. Elle favorise le maintien du niveau circulant dans l’organisme et est vitale pour la performance sportive.
Sources
La vitamine D se trouve sous forme préformée dans la peau sous forme de 7-déhydrocholestérol et, grâce aux rayons UV du soleil, ton organisme la transforme en cholécalciférol (vitamine D3). Tu peux aussi recourir aux aliments riches en vitamine D, comme les champignons, les huiles de foie de poisson et les poissons gras, le jaune d’œuf, les produits laitiers entiers et les aliments enrichis.
Carence en vitamine D

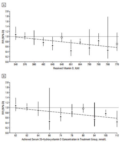
Le tableau, extrait de l’article de Bischoff-Ferrari et al., 2009, montre que des niveaux plus élevés d’administration de vitamine D et des concentrations sériques plasmatiques plus importantes (axe X) sont associés à un risque relatif plus faible (axe Y) de fractures non vertébrales.
Concernant le manque de vitamine D, les mêmes auteurs ont conclu que la prévention des fractures non vertébrales avec ce nutriment dépend de la dose et qu’une dose plus élevée devrait permettre de réduire les fractures d’au moins 20 % chez les personnes ≥65 ans.Apport Journalier Recommandé
Une combinaison synergique : calcium & vitamine D
Comme il ne pouvait en être autrement, en raison du lien si étroit qui les unit, le calcium et la vitamine D agissent en synergie. Ainsi, leurs fonctions sont parfaitement réparties : tandis que le calcium assure des fonctions structurelles dans le tissu osseux, la vitamine D contribue au métabolisme adéquat du calcium, en augmentant la réabsorption rénale.
Pour prendre soin de ta santé, il est conseillé que ton organisme dispose d’un stockage optimal de calcium et de vitamine D, nécessaire pour obtenir des traitements pharmacologiques efficaces contre l’ostéoporose (Sunyecz, 2008).
Comment réduire l’ostéopénie ?
Pour lutter contre l’ostéopénie, tu peux agir sur 3 fronts différents :
Par l’alimentation
La consommation de calcium et de vitamine D, de préférence via des aliments riches en ces deux nutriments (lire plus), comme par exemple les produits laitiers entiers (qui, en conjonction avec les acides aminés, favorisent l’absorption du calcium), pourrait être une stratégie intelligente pour maintenir la santé osseuse et sa densité minérale.
Par la supplémentation
Savais-tu que la supplémentation en vitamine D3 est quasiment une obligation pour la majorité de la population européenne ? C’est dire le déficit généralisé de ce nutriment indispensable. C’est pourquoi les médecins recommandent son usage avec insistance. Pour t’assurer que ton organisme n’est pas carencé en cette vitamine, tu devrais faire une analyse des niveaux plasmatiques de 25-OH-cholécalciférol.
De plus, il faut faire attention à l’apport en phosphore, car une consommation élevée de ce minéral augmente la résorption, favorisant la déminéralisation.

Par l’entraînement
Tu consommes assez de calcium ? Alors, assure-toi de le fixer dans l’os pour améliorer sa microstructure ! Atteins cet objectif en faisant des exercices qui stimulent ce processus, soit par des exercices à impact ostéo-articulaire (comme la course), soit par de fortes tractions (comme l’entraînement en force).
Avec toutes ces infos en main, tu peux juger par toi-même de l’intérêt d’inclure calcium et vitamine D dans ton alimentation en quantités suffisantes pour que ta densité minérale osseuse ne souffre pas du temps qui passe. La balle est dans ton camp !
Sources bibliographiques :
- Bischoff-Ferrari HA, Willett WC, Wong JB, Stuck AE, Staehelin HB, Orav EJ, Thoma A, Kiel DP, Henschkowski J. Prevention of Nonvertebral Fractures With Oral Vitamin D and Dose DependencyA Meta-analysis of Randomized Controlled Trials. Arch Intern Med. 2009;169(6):551–561. doi:10.1001/archinternmed.2008.600
- Boskey, A. L. (2013). Bone composition: relationship to bone fragility and antiosteoporotic drug effects. BoneKEy Reports, 2, 447. http://doi.org/10.1038/bonekey.2013.181
- Institute of Medicine (US) Committee to Review Dietary Reference Intakes for Vitamin D and Calcium; Ross AC, Taylor CL, Yaktine AL, et al., editors. Washington (DC): National Academies Press (US); 2011
- Sunyecz, J. A. (2008). The use of calcium and vitamin D in the management of osteoporosis. Therapeutics and Clinical Risk Management, 4(4), 827–836.
- Thacher, T. D., & Clarke, B. L. (2011). Vitamin D Insufficiency. Mayo Clinic Proceedings, 86(1), 50–60. http://doi.org/10.4065/mcp.2010.0567
Articles liés

Blog de Fitness, Nutrition, Santé et Sport | HSN Blog Dans le Blog de HSNstore vous trouverez des conseils sur Fitness, sport en général, nutrition et santé – HSNstore.com 
