Ce que l’inuline manque en popularité, elle le compense largement en efficacité pour la santé intestinale. Si tu es adepte du gym, tu sais sûrement que cette substance est utilisée par les pratiquants de musculation et disciplines similaires qui, en ingérant d’énormes quantités de nourriture, souffrent souvent de perturbations de la microbiote intestinale.

Sommaire
- 1 Qu’est-ce que la microbiote intestinale ?
- 2 Qu’est-ce que c’est ?
- 3 Quelle fonction remplit l’inuline ?
- 4 Action prébiotique
- 5 Découvre son action bifidogénique
- 6 Usages médicaux
- 7 Quels sont les bienfaits de l’inuline ?
- 8 Quels sont ses usages industriels ?
- 9 Inuline d’agave
- 10 Y a-t-il des effets secondaires et contre-indications ?
- 11 Ne manque pas ce que disent les études
Qu’est-ce que la microbiote intestinale ?
Derrière ce terme se cache l’ensemble des micro-organismes vivants dans notre intestin dont la mission est de favoriser la digestion et l’assimilation des nutriments, ainsi que la production des vitamines du groupe B, en promouvant l’intégrité de la muqueuse intestinale et en évitant la redoutée perméabilité qui gênerait l’absorption des nutriments.
De plus en plus de pathologies apparaissent, comme le syndrome de l’intestin irritable, les troubles métaboliques, l’inflammation intestinale et même le cancer colorectal, conséquences d’une atteinte chronique du microbiome liée à des facteurs environnementaux (Guinane et Cotter, 2013).

Figure I. Équilibre microbien et pathogénèse chez l’humain. (Guinane et Cotter, 2013).
Qu’est-ce que c’est ?
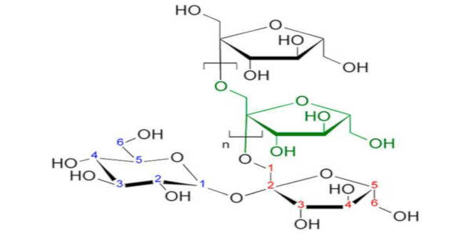
L’inuline est un polysaccharide composé de chaînes de fructose, ce qu’on appelle un fructane. On le trouve naturellement dans les racines des plantes spermatophytes.
Habituellement, elle est extraite pour la commercialisation comme complément alimentaire à partir de la chicorée. Ce processus utilise la technique dite de « champ électrique pulsé », puis elle est purifiée et isolée pour être présentée sous forme micronisée.

Figure II. Processus d’extraction, purification et isolement de l’inuline au format Raw.
Ce sont les polysaccharides non structuraux les plus abondants dans la nature, présents dans les plantes, champignons et bactéries. Ils sont classés comme oligosaccharides, c’est-à-dire des groupements simples comprenant quelques molécules de sucres simples.
Sa molécule, caractérisée par une grande hydrosolubilité, est constituée de chaînes non ramifiées formées de 40 à 100 molécules de fructose (le sucre simple qui constitue le noyau de sa composition).

Quelle fonction remplit l’inuline ?
Au début du XIXe siècle, l’inuline a été isolée et purifiée à partir de l’espèce Inula helenium, aussi appelée élécampane ou hélénium. Cette plante à feuilles persistantes, au profil d’herbe rigide, est très répandue dans les îles britanniques, le sud et le centre de l’Europe ainsi qu’en Asie.
La plupart des espèces végétales concentrant des quantités significatives d’inuline ne le font pas dans leur partie végétative (tige et feuilles) mais dans la partie hypogée ou souterraine (racine, tubercule, bulbe ou rhizome).
Les exceptions à cette règle sont les plantes de la famille des graminées, qui concentrent de grandes quantités dans leurs structures vertes.
De plus, les plantes exploitables industriellement comme source de fructanes ne sont pas nombreuses. Il suffit de remonter dix ans en arrière pour constater que l’inuline ne pouvait être obtenue qu’à partir de la pomme de terre ou de l’artichaut de Jérusalem, une plante tuberculeuse proche du tournesol, et de la chicorée, cette dernière étant la plus utilisée.
Action prébiotique
L’inuline exerce une action prébiotique qui favorise la croissance des micro-organismes vivants de la flore intestinale, ainsi qu’une action dite bifidogénique, favorisant le développement des bifidobactéries, entre autres espèces bactériennes.
Sur le plan nutritionnel, l’inuline est considérée comme une fibre. Ne disposant pas d’enzymes capables de la dégrader, l’organisme ne peut pas hydrolyser cette substance.
C’est ainsi que l’inuline arrive presque intacte au côlon, où les bactéries peuvent fermenter et dégrader la substance pour s’en nourrir et favoriser leur croissance et développement (García, Bourcourt, Albelo et Núñez, 2007).
Quels autres rôles joue l’inuline dans l’organisme ?
Ces fonctions découlent en réalité de l’action de l’inuline sur la flore intestinale et l’amélioration de son intégrité, comme le montre l’image 1, illustrant les conséquences d’une flore endommagée.
Découvre son action bifidogénique
Il est courant de penser à tort que toutes les souches bactériennes présentes dans notre intestin sont des « bonnes bactéries », mais ce n’est pas le cas.
Parmi les plus de 400 types de bactéries existantes, certains groupes peuvent être considérés comme pathogènes ou potentiellement pathogènes (Eckburg et al., 2005 ; Kamarul Zaman, Chin, Rai & Majid, 2015, cité dans Shoaib et al., 2017) :
- Bénéfiques pour l’organisme : Lactobacilles et Bifidobactéries
- « Mixtes », combinant effets bénéfiques et nuisibles : Bactéroïdes
- Nuisibles pour l’organisme : Clostridies, entre autres
Inuline pour la santé du système digestif
Cependant, l’inuline stimule l’environnement et l’activité d’un nombre limité de bactéries dans le côlon. Il s’agit surtout de celles du premier groupe, ce qui en fait un excellent outil pour améliorer la santé intestinale en particulier, mais aussi celle de l’organisme en général.
En citant des sources textuelles, on peut mentionner les faits suivants :
« L’inuline et les oligofructoses ont montré que chez des patients souffrant d’irrégularités intestinales et de certaines maladies graves, elles rétablissaient la stabilité microbienne lorsque leur population avait changé à cause de l’environnement affecté par les maladies » (Shoaib et al., 2017).
« Cela peut favoriser la défense contre l’attaque et la translocation de microbes (aussi bien endogènes qu’exogènes) » (Bosscher, Van Loo & Franck, 2006, cité dans Shoaib et al., 2017).

Figure III. Pharmacocinétique de l’inuline et effets sur les marqueurs.
Pour réduire la colite, l’administration combinée d’inuline et d’oligofructose a largement prouvé son efficacité. Il a aussi été constaté qu’elle favorise la croissance bénéfique des bifidobactéries et lactobacilles intestinaux chez des rats transgéniques.
« Cela est dû à une réduction de la production de cytokines pro-inflammatoires dans la muqueuse intestinale et à une augmentation de la régulation immunitaire via la transformation du TGF-β » (Schultz et al., 2004, cité dans Shoaib et al., 2017).
Usages médicaux
L’inuline n’est pas du tout une substance nouvelle dans la pratique de mesure d’un paramètre clinique appelé « taux de filtration glomérulaire », où elle a déjà une longue expérience et s’est révélée particulièrement utile pour extraire des données liées à la capacité rénale de filtrer le volume sanguin par unité de temps.
Les bienfaits de l’inuline sont tels que dans le domaine thérapeutique, il a été proposé d’en prescrire l’administration dans certains traitements contre des pathologies comme la colite ulcéreuse, l’hypercholestérolémie, la constipation chronique ou la maladie de Crohn.

Quels sont les bienfaits de l’inuline ?
On a affaire à une substance qui aide à stabiliser le rythme de synthèse de l’insuline et, en cohérence, le niveau de cette hormone ainsi que celui du glucose sanguin, ce qui lui confère un rôle déterminant pour contrôler et prévenir le diabète.
Pour le contrôle du diabète de type II
Les experts considèrent que l’effet antioxydant direct de l’inuline pourrait constituer une seconde voie de contrôle du diabète de type II.
Dans cette optique, le stress oxydatif causé par une action prolongée de niveaux élevés d’insuline circulante dans le sang serait un facteur clé dans le développement du diabète et de ses complications. L’inuline serait capable de neutraliser ce phénomène grâce à son pouvoir antioxydant.
Les deux conséquences principales d’un apport alimentaire suffisant en ce fructane sont :
- La garantie d’un système immunitaire fort
- Une meilleure fluidité dans le tractus gastro-intestinal
Cette synergie pourrait freiner l’accumulation de substances toxiques dans l’organisme.

Contrôle du cholestérol LDL
Pour maintenir sous contrôle les niveaux de cholestérol, surtout celui connu sous le nom de « mauvais cholestérol » ou LDL, et pour inhiber l’accumulation de triglycérides au niveau hépatique, l’inuline est l’un des outils les plus efficaces.
Cela justifie son rôle de coadjuvant dans la prévention du risque d’athérosclérose et des maladies cardiaques ainsi que des accidents vasculaires cérébraux qui en découlent.
Les personnes en surpoids peuvent particulièrement bénéficier d’un apport suffisant en inuline, car elle modifie favorablement la flore intestinale. Cela pourrait déclencher le début d’une perte de poids (métaboliser un gramme d’inuline fournit 1,5 kilocalorie).
En plus, elle réduit le risque de développer un diabète, maladie pour laquelle l’obésité est un facteur prédisposant important.
Elle participe aux aliments fonctionnels
Pour te rassurer, sache que l’inuline est reconnue comme une substance sûre par les organismes de contrôle alimentaire les plus réputés. Elle a obtenu en 2007 l’autorisation d’être incluse dans les processus alimentaires en Europe.
La liste de ces aliments est très longue et, en termes de profils nutritionnels, très variée, chaque produit contenant différents principes actifs qui lui confèrent cette caractéristique unique.
Autres oligosaccharides fonctionnels :
- Oligosaccharides contenus dans les protéagineux comme le soja, parmi lesquels on trouve la stachyose et la raffinose.
- Isomaltooligosaccharides extraits par hydrolyse de l’amidon, présent en grande quantité dans les céréales et tubercules. Heureusement, tu peux en profiter en consommant des aliments fermentés comme le riz (préparé avec soja et riz complet) ou le saké (boisson alcoolisée japonaise à base de riz).
- Galactooligosaccharides obtenus à partir du galactose (un sucre) du lait.
- Lactulose également obtenu à partir du lait, par traitement de la lactose à haute température.

Tout est clair : on parle d’une substance naturelle au potentiel indéniable et généreux pour la santé et le bien-être de personnes aux situations diverses.
Les enfants constituent un groupe particulièrement bénéficiaire de l’inuline pour assurer une minéralisation optimale des os. Les adolescents, femmes enceintes et personnes âgées devraient aussi en consommer régulièrement. C’est pourquoi une prise régulière d’inuline est recommandée.
Quels sont ses usages industriels ?
L’inuline est un composé très reconnu et apprécié dans l’industrie alimentaire, grâce à ses attributs technologiques.
En effet, elle est idéale pour améliorer la structure et la stabilité des aliments aussi variés que les produits laitiers, céréales transformées, pâtes à cuire et même certains produits carnés traités thermiquement, comme les charcuteries.

Dans cette optique, de nombreux produits l’intègrent comme substitut des graisses saturées, tout en conservant intact leur goût et avec l’avantage d’une faible teneur en graisses, ce qui les rend bien plus sains.
C’est la raison de la croissante incorporation de l’inuline comme ingrédient (et non comme additif) dans la fabrication de nombreux aliments, cherchant à remplacer les graisses saturées, notamment dans les produits carnés, laitiers et glaces.
Son processus de formation
Les spécialistes ont envisagé que remplacer la graisse par de la viande maigre pourrait initialement nuire au goût des aliments, mais c’est précisément l’inuline qui empêche cela. Elle agit en formant un gel au contact de l’eau soumis à un cisaillement qui augmente la pression de coupe.
Une fois le produit fini, ce gel lui confère une texture en bouche totalement comparable à celle produite par les globules gras remplacés.
Cette aptitude technologique de l’inuline la distingue nettement des fibres insolubles, car elle peut remplacer la graisse grâce à sa capacité à immobiliser l’eau lors de la formation du gel, ce dont ces dernières sont dépourvues. Et avec l’avantage supplémentaire de ne pas altérer le goût grâce à sa neutralité !
Dans quels produits utilise-t-on l’inuline ?
- Saucisses de foie et pâté : l’inuline leur donne l’onctuosité nécessaire pour être étalées sur le pain. Leur teneur en matières grasses ne dépasse pas 10 %.
- Saucisses de Francfort : la teneur en matières grasses est réduite à 5 %.
- Salami : améliore sa structure, permettant une fabrication avec 12 % de matières grasses.
Inuline d’agave
Ce polysaccharide est obtenu par séchage de l’agave, la même plante utilisée pour fabriquer la tequila.
Elle est aussi souvent utilisée comme ingrédient pour préparer des desserts, car elle agit comme humectant ou agent de rétention d’humidité. Elle est également idéale pour être ajoutée aux jus, smoothies et autres boissons.

Y a-t-il des effets secondaires et contre-indications ?
Il est logique de penser que l’inuline n’est pas une substance à utiliser dans toutes les situations, elle est donc déconseillée dans certains cas, en raison de la sensibilité de certains individus.
Il suffit de dire qu’elle provoque parfois des réactions défavorables chez les personnes atteintes du syndrome de malabsorption du fructose, pour lesquelles la consommation d’inuline peut poser problème, et dont l’apport doit être limité à un demi-gramme.
Sa nature de fibre soluble entraîne inévitablement des fermentations dans le gros intestin pouvant causer gaz, ballonnements, diarrhée ou douleurs abdominales.
Pour ces raisons, il est conseillé d’introduire l’inuline dans ton alimentation progressivement, afin de permettre à l’intestin de s’y habituer petit à petit. Suivre les recommandations du fabricant et consulter un spécialiste en nutrition est aussi un excellent moyen d’éviter les effets indésirables.
En résumé, tu peux prendre au moins cinq grammes d’inuline par jour avec tes repas pour garantir une bonne digestion. En même temps, tu éviteras la sensation désagréable de ventre gonflé. Certains estiment même que la dose pourrait aller jusqu’à 40 grammes par jour sans compromettre la santé, mais il semble que entre 10 et 14 grammes quotidiens suffisent pour profiter de ses bienfaits.
Ne manque pas ce que disent les études
Les essais réalisés sur l’humain sont plus limités, ce qui complique l’établissement d’un apport quotidien recommandé pour savoir comment prendre l’inuline, d’autant plus que cela varie beaucoup selon la situation individuelle, la pathologie ou condition, la gravité des symptômes, etc.
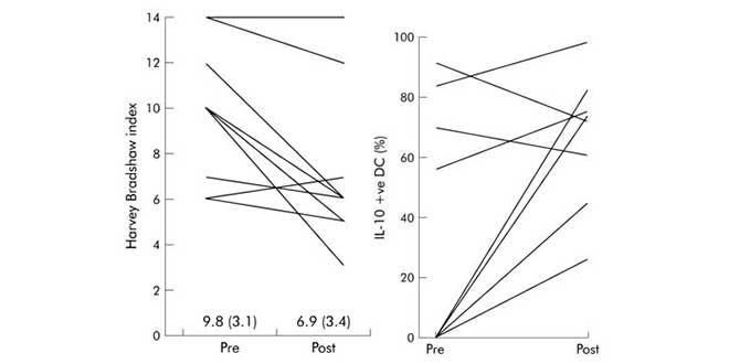
Cependant, Lindsay et al. 2006 ont démontré que la consommation de 15 g d’un mélange d’inuline et de FOS améliorait nettement les symptômes (indice Harvey Bradshaw) de 10 patients atteints de la maladie de Crohn iléocolique active.
Ainsi, il a été prouvé que cette prise augmentait la concentration fécale de bifidobactéries et le pourcentage d’IL-10, une cytokine aux propriétés anti-inflammatoires capable d’inhiber la synthèse de cytokines pro-inflammatoires.

Figure IV. HBI des patients montrant des réductions significatives des symptômes de la maladie (à gauche) ; augmentation des concentrations d’interleukine 10 (à droite) (Lindsay et al. 2006).
Sources bibliographiques :
- García, Y., Boucourt, R., & Albelo, N. (2007). Fermentation de l’inuline par des bactéries lactiques aux caractéristiques probiotiques. Revista Cubana de Ciencia Agricola, 3(41), 262–266.
- Guinane, C. M., & Cotter, P. D. (2013, juillet). Rôle de la microbiote intestinale dans la santé et les maladies gastro-intestinales chroniques : comprendre un organe métabolique caché. Therapeutic Advances in Gastroenterology. Sage UK : Londres, Angleterre.
- Lindsay, J. O., Whelan, K., Stagg, A. J., Gobin, P., Al‐Hassi, H. O., Rayment, N., … Forbes, A. (2006, mars). Effets cliniques, microbiologiques et immunologiques des fructo-oligosaccharides chez des patients atteints de la maladie de Crohn. Gut.
- Shoaib, M., Shehzad, A., Omar, M., Rakha, A., Raza, H., Sharif, H. R., … Niazi, S. (2016). Inuline : propriétés, bienfaits pour la santé et applications alimentaires. Carbohydrate Polymers, 147, 444–454.
Blog de Fitness, Nutrition, Santé et Sport | HSN Blog Dans le Blog de HSNstore vous trouverez des conseils sur Fitness, sport en général, nutrition et santé – HSNstore.com 

