Le basket est un sport intense, cela on le sait déjà ceux que nous avons joué, soit avec des amis sur une piste, ou niveau compétitif sur une équipe pro. Jouer au basket ça fatigue et beaucoup en plus. Mais pourquoi ? Savons nous quels sont les compléments sportifs à prendre pour retarder cette fatigue le maximum que possible.

Sommaire
Quels sont les besoins d’un joueur de basket ?
Laltzel et al. (2018) ont analysé le profil énergétique de joueurs junior professionnels dans une simulation des conditions d’un match. Il voulaient voir d’ou ces joueurs obtenaient l’énergie. Pour quoi ?
Parce-que si vous savez d’où votre corps obtient son énergie quand vous réalisez une activité, vous savez quel est le complément le plus adéquat pour vous. L’objectif ? Performer sur piste !
Les chercheurs ont trouvé que la plupart de l’énergie provenait du métabolisme des phosphagènes ; un système d’obtention de grandes quantités d’énergie que nous ne pouvons pas maintenir pendant plus de 10″, environ.
Puis, le métabolisme aérobie contribue environ de 29% à l’obtention d’énergie. Ce système énergétique est celui que vous utilisez lorsque vous marchez ou vous êtes assis.
Le métabolisme de la glycolyse anaérobie ou extra-mitochondriale, contribuait à moins de 5% dans l’obtention d’énergie.
Que nous dit ceci ?
Que le basket est un sport où nous avons besoin d’énergie disponible très rapidement et des brèves périodes de repos pour sa ré-synthèse (récupération).
En plus de la place d’où nous obtenons de l’énergie, nous avons d’autres facteurs importants pour configurer la nutrition et la complémentation d’un joueur. Vous voulez savoir quels sont ?
Continuez à lire, car vous allez voir la combinaison de base de compléments que vous pouvez utiliser pour améliorer votre performance en basket. ?
Compléments pour le Basket
1. Créatine Monohydrate
C’est sans aucun doute le complément le plus utile pour un joueur de basket.
Et pas seulement pour être le complément le plus étudié et que la Société Internationale de Nutrition Sportive le considère « le complément nutritionnel le plus efficace de nos jours pour les athlètes, en termes d’augmentation de la capacité de maintenir l’intensité élevée pendant l’exercice et augmenter la masse corporelle en périodes d’entraînement.” (Kerksick et al., 2018).
Elle semble importante pour la performance sportive, pas vraie ?
Effectivement. Notre organisme possède une capacité limitée de production d’énergie à partir de ce système, et malgré que la quantité d’énergie produite est très élevée (4 fois plus que le système aérobique et 1,6 fois plus que l’anaérobique), le temps que nous pouvons maintenir cette intensité est très réduit.
Figura I. Répressentation grafique des 3 systèmes d’obtention d’énergie musculaire, durée, volume d’ATP produit et manifestation sportive.
Lorsque l’on termine une attaque ou une défense, et que nous pouvons enfin marcher quelques secondes, notre organisme en profite pour phosphoryler des molécules de créatine que nous avons dans notre tissu musculaire, et ainsi pouvoir les utiliser comme sources d’énergie. Notre « repos » entre les différentes actions sert à notre organisme à « charger » une nouvelle énergie, pour le prochain effort.

Figure II. Répresentation graphique du métabolisme de la synthèse et la dégradation de l’ATP lors de l’exercice et pendant le repos, selon la phosphorylation et dé-phosphorylation de la créatine musculaire. (McGraw-Hill, s.f.).
Mais pour pouvoir recharger l’énergie nous avons besoin de créatine pour phosphoryler. Imaginons que nous avons des briques, des machines et des ouvriers, mais aucune place pour faire la maison. Le reste alors ne sert à rien. Ici ça fonctionne pareil.

Figure III. Graphique en foret où nous trouvons l’amplitude du profit pour le placebo (à gauche du 0) ou pour la créatine (à droîte du zéro), sur la performance dans des sprints répétés et test Wingate. (Mielgo-Ayuso et al., 2019).
Mielgo-Ayuso et al. (2019) l’ont vérifié. Ils ont révisé toute l’évidence scientifique jusqu’au moment et ont conclu que la créatine est un complément efficace pour augmenter la performance anaérobique.
2. Caféine
La caféine est un méthylxanthine, un alcaloïde que nous trouvons naturellement dans le café, le thé, le cacao ou la yerba maté, entre autres.
Son utilisation comme exhausteur de la performance sportive est connue par tous,car elle a un effet neurostimulant qui se traduit par une meilleure performance motrice.
Vous voulez savoir quels sont les avantages principaux après différentes études ?

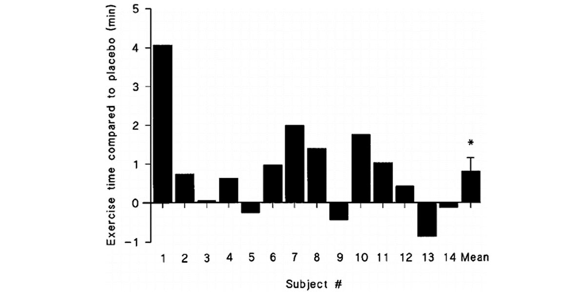
Figura IV. Diagramme de colonnes qui montre la croissance du temps d’exercice jusqu’à l’épuisement de chaque sujet en comparaison au placebo. Les barres vers le haut montrent un profit en faveur de la caféine, et vers le bas, des dommages. “Mean” est la moyenne de tous. (Jackman et al., 1994).
Il a démontré augmenter les concentrations du lactate dans le sang, un indicateur de que nous sommes capables de tolérer plus d’exercice physique à intensité élevée avant d’atteindre le point de fatigue neuromusculaire qui nous empêche de continuer. (Cruz et al., 2015).

Figure V. Concentrations de lactate dans le sang dans le groupe qui a consommé de la caféine (carrés remplis) et celui qui a consommé du placebo (quarrés vides). (Cruz et al. 2015)
Il a démontré augmenter la consommation d’oxygène et diminuer celui de CO2, améliorant le coefficient de respiration (RER), un signe de que nous sommes plus efficaces en respirant pendant que nous faisons de l’exercice. (Cruz et al., 2017).

Figure VI. Consommation d’oxygène (coin supérieur à gauche), consommation de CO2 (coin supérieur à droite), quotient respiratoire (coin inférieur à gauche), du groupe qui a consommé de la caféine (carrés remplis) et du groupe qui a consommé du placebo (carrés vides). (Cruz et al. 2015)
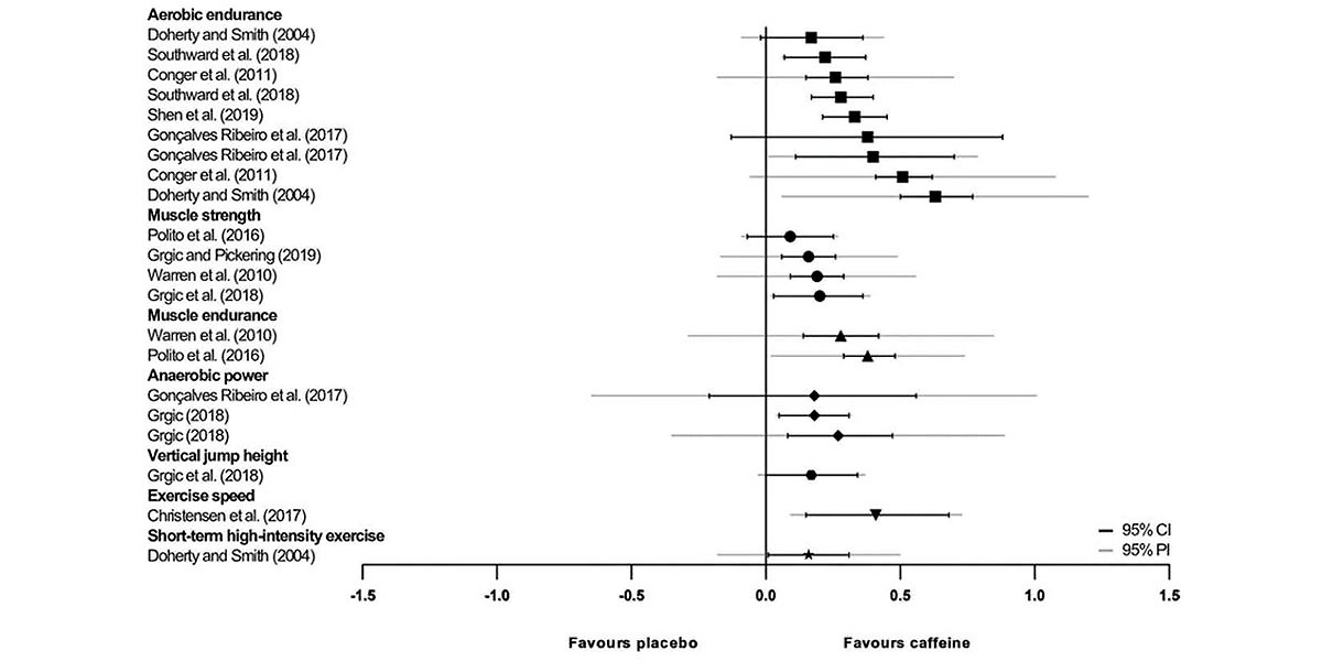
Et que finalement, une révision de toutes les révisions, de toute la littérature scientifique (oui, vous avez bien lu), a conclu que la caféine est efficace pour augmenter la performance aérobie, la force et l’endurance musculaire, la puissance d’anaerobie, la hauteur du saut vertical et l’exercice d’aerobie à intensité élevée et courte durée. Tout ce dont un joueur de basket doit améliorer. (Grgic et al., 2018).

Figura VII. Graphique en foret où se montre l’amplitide du profit en faveur du placebo (vers le gauche du 0) ou en faveur de la caféine (vers la droite du zéro), sur l’endurance aérobie, la force musculaire, l’endurance musculaire, la puissance anaérobie, la hauteur du saut vertical, la vitesse d’exercice et la performance dans les efforts à intensité élevée et courte durée. (Grgic et al., 2018).
Nous avons le meilleur produit pour vous et votre performance sur le terrain de jeu. Caféine Naturelle de EssentialSeries. Chaque capsule vous apporte 200mg de caféine anhydre naturelle, ce qui apporte un plus d’énergie pendant vos entraînements et matchs, améliorant votre concentration. Vous avez aussi l’option de choisir la Caféine Naturelle en Poudre de RawSeries.
3. Protecteur articulaire
Ne vous trompez pas, tous nous savons que la pratique sportive augmente le métabolisme articulaire, la synthèse (ou création) du cartilage, mais spécialement sa dégradation.

Figura VIII. Graphique circulaire où se montrent les diagnostiques de lésion les plus communs des joueurs et joueuses de basket par type d’exposition. Rupture ligamentaire, commotion cérébrale, rupture musculaire ou tendineuse, fracture, contusion et autres. (Borowski et al., 2008).
Pour les prévenir, c’est important d’avoir une bonne santé articulaire.
Comment vous l’obtenez ? Grâce à sa combinaison avec des anti-inflammatoires (MSM, Chondroïtine, Hyaluronate…) et éléments qui favorisent la synthèse de collagène (marin, vitamine C, sulfate de glucosamine…) C’est sans doute le produit le plus complet de HSN pour cet objectif.
La glucosamine a démontré être spécialement utile sur la prévention du dommage articulaire auquel sont soumis les joueurs de basket par sur-utilisation, réduisant le CTX-II, un marqueur qui indique le dommage dans le tissu articulaire. (Nagaoka, 2009).

Figura IX. Changements du marqueur CTX-II de dégénération du cartilage articulaire après la consommation de 1,5g/jour (triangle) et 3g(jour (carré) pendant 3 mois et la discontinuation pendant 3 mois de plus (Nagaoka et al., 2009).
Joint Care est un complément utile pour renforcer la densité de collagène dans les articulations des sportifs
3. Protéines de Sérum
L’une des choses qui plus attirent l’attention quand nous évaluons le profil des joueurs de basket est que plus élevée est sa masse corporelle, plus élevée est la division où ils jouent et donc sa performance es plus supérieure. (Ferioli et al., 2018).
Mais il ne faut pas se tromper. Contrairement à ce que de nombreuses personnes pensent, le basket ne plus un jeu où personne grande et forte rester sur le panier en attendant le contact. De nos jours, les pivot peuvent jouer sans problèmes sur d’autres places.

Figura X. Profil anthropométrique des joueurs de première, deuxième, troisième et quatrième ligue de basket (Ferioli et al., 2018).
On voit que le poids est plus élevé, mais pas le pourcentage de gras, donc ils possèdent plus de masse musculaire. Ce qui n’est pas étonnant, car la masse musculaire est nécessaire pour maintenir la performance motrice. Cela correspond presque parfaitement à la force musculaire, et à son tour, la force musculaire est le pilier à partir duquel nous construisons le reste de nos capacités physiques et de nos habiletés motrices.

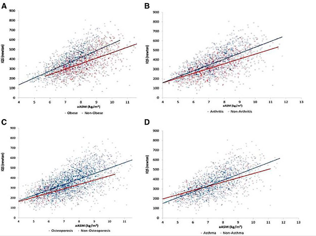
Figure XI. Corrélation entre la masse musculaire (Aasm) et la force musculaire (IQS); l’effet de modification par comorbidité (A. Obésité, B. Arthrite, C. Asthme, D. Ostéoporose), la ligne rouge représente les femmes et la bleue les hommes (Chen et al., 2013).
L’entraînement, contrairement à ce que de nombreuses personnes pensent, diminue notre masse musculaire. Il nous situe dans un état catabolique, qui fait que la dégradation de protéines musculaires sois supérieur que sa synthèse, et donc, augmente la quantité d’acides aminés que nous éliminons du tissu musculaire.

Figure XII. Turnover protéique après l’exercice, après entraîner; 3 heures après l’entraînement, 24 heures après l’entraînement et 48 heures après l’entraînement. (Ato & Fujita, 2017).
Alors… pourquoi les personnes qui s’entraînent sont plus fortes que celles que non ?
Parce qu’on sait que l’entraînement stimule le métabolisme musculaire, et si on profite l’effet catabolique » qui produit pour apporter assez de quantité de protéine, notre organisme nous récompense en augmentant la teneur en protéines du tissu musculaire, faisant qu’il grandisse.

Figure XIII. Réponse de la synthèse protéique (axe Y) en fonction de la quantité de protéine consommée (axe X) post-entraînement (Moore, 2019).
0,31g de protéine par kg de poids corporel après l’entraînement est assez pour stimuler la synthèse de protéines musculaires au maximum; toujours qu’il soit de bonne qualité.
C’est là où rentre la formule d’Evowhey 2.0 de SportSeries. Protéine de lactosérum, c’est l’une des sources de whey protein de plus grande qualité que nous pouvons trouver au marché de nos jours.
D’autres options que vous pouvez aussi choisir parmi les protéines de lactosérum sont : Evolate 2.0 de SportSeries (rectangle bleu du graphique) ou notre Concentré de protéine de lait 85% 2.0 de RawSeries (rectangle vert du graphique).

Figura XIV. Indice de digestibilité d’acides aminés de différents sources de protéine animale et végétale (Wolfe, 2015).
Comment devez vous utiliser les compléments de Basketball ?
Vous avez vu intéressant tout ce que je viens de raconter ? Qu’attendez vous alors pour l’essayer ? Ah bien sur! J’ai pas encore dit comment le faire ! Notez bien ce qui arrive car voici une recommandation avec tous les compléments ?
Protocole d’utilisation recommandée du pack de base de compléments pour joueurs de basket :
- Créatine Monohydrate Micronisée en Poudre: 0,1g/kg de poids corporel à tout moment de la journée. Même si Forbes & Candow (2018) nous donnent le typ de que après l’entraînement peut être un moment un peu meilleur que les autres.
- Caféine Naturelle : 3-6mg/kg de poids corporel, 48′ avant l’entraînement (entre 30-90 minutes avant, en fonction de votre génotype CYP1A2 qui détermine votre vitesse de métabolisation).
- Joint Care: si vous êtes un joueur grand et que vous entraînez intensément, 3 services par jour est la dose recommandée. Séparés au moins 6-8 heures, avec les 3 repas de la journé (petit déjeuner, déjeuner et dîner).
- Evowhey 2.0 / Evolate 2.0: Entre 0.32g-0.55g/kg de poids corporel (20-40g d’Evowhey 2.0) normalement après avoir terminer d’entraîner.
Références Bibliographiques :
- Ato, S., & Fujita, S. (2017). Regulation of muscle protein metabolism by nutrition and exercise. The Journal of Physical Fitness and Sports Medicine, 6, 119–124. https://doi.org/10.7600/jpfsm.6.119
- Borowski, L. A., Yard, E. E., Fields, S. K., & Comstock, R. D. (2008). The epidemiology of US high school basketball injuries, 2005-2007. The American Journal of Sports Medicine, 36(12), 2328–2335. https://doi.org/10.1177/0363546508322893
- Chen, L., Nelson, D. R., Zhao, Y., Cui, Z., & Johnston, J. A. (2013). Relationship between muscle mass and muscle strength, and the impact of comorbidities: a population-based, cross-sectional study of older adults in the United States. BMC Geriatrics, 13, 74. https://doi.org/10.1186/1471-2318-13-74
- Cruz, R. S. de O., de Aguiar, R. A., Turnes, T., Guglielmo, L. G. A., Beneke, R., & Caputo, F. (2015). Caffeine Affects Time to Exhaustion and Substrate Oxidation during Cycling at Maximal Lactate Steady State. Nutrients, 7(7), 5254–5264. https://doi.org/10.3390/nu7075219
- Ferioli, D., Rampinini, E., Bosio, A., La Torre, A., Azzolini, M., & Coutts, A. J. (2018). The physical profile of adult male basketball players: Differences between competitive levels and playing positions. Journal of Sports Sciences, 36(22), 2567–2574. https://doi.org/10.1080/02640414.2018.1469241
- Forbes, S., & Candow, D. (2018). Timing of Creatine Supplementation and Resistance Training: A Brief Review. 1.
- Grgic, J., Grgic, I., Pickering, C., Schoenfeld, B. J., Bishop, D. J., & Pedisic, Z. (2019). Wake up and smell the coffee: caffeine supplementation and exercise performance? an umbrella review of 21 published meta-analyses. British Journal of Sports Medicine. https://doi.org/10.1136/bjsports-2018-100278
- Hoffman, J. R., & Falvo, M. J. (2004). Protein – Which is Best? Journal of Sports Science & Medicine, 3(3), 118–130.
- Jackman, M., Wendling, P., Friars, D., & Graham, T. (1994). Caffeine Ingestion and High Intensity Intermittent Exercise. Clinical Science, 87, 64.1-64. https://doi.org/10.1042/cs087s064
- Kerksick, C. M., Wilborn, C. D., Roberts, M. D., Smith-Ryan, A., Kleiner, S. M., Jäger, R., … Kreider, R. B. (2018). ISSN exercise & sports nutrition review update: research & recommendations. Journal of the International Society of Sports Nutrition, 15(1), 38. https://doi.org/10.1186/s12970-018-0242-y
- Latzel, R., Hoos, O., Stier, S., Kaufmann, S., Fresz, V., Reim, D., & Beneke, R. (2018). Energetic Profile of the Basketball Exercise Simulation Test in Junior Elite Players. International Journal of Sports Physiology and Performance, 13(6), 810–815. https://doi.org/10.1123/ijspp.2017-0174
- Mielgo-Ayuso, J., Calleja-Gonzalez, J., Marques-Jimenez, D., Caballero-Garcia, A., Cordova, A., & Fernandez-Lazaro, D. (2019). Effects of Creatine Supplementation on Athletic Performance in Soccer Players: A Systematic Review and Meta-Analysis. Nutrients, 11(4). https://doi.org/10.3390/nu11040757
- Moore, D. R. (2019). Maximizing Post-exercise Anabolism: The Case for Relative Protein Intakes. Frontiers in Nutrition, 6, 147. https://doi.org/10.3389/fnut.2019.00147
- Wolfe, R. R. (2015). Update on protein intake: importance of milk proteins for health status of the elderly. Nutrition Reviews, 73 Suppl 1(Suppl 1), 41–47. https://doi.org/10.1093/nutrit/nuv021
- Yoshimura, M., Sakamoto, K., Tsuruta, A., Yamamoto, T., Ishida, K., Yamaguchi, H., & Nagaoka, I. (2009). Evaluation of the effect of glucosamine administration on biomarkers for cartilage and bone metabolism in soccer players. International Journal of Molecular Medicine, 24(4), 487–494. https://doi.org/10.3892/ijmm_00000257
Blog de Fitness, Nutrition, Santé et Sport | HSN Blog Dans le Blog de HSNstore vous trouverez des conseils sur Fitness, sport en général, nutrition et santé – HSNstore.com 




Bj je suis daccord avec vs mais a quel moment prendre tt c produit ????
Bonjour. Chaque produit a sa durée d’utilisation, qui est toujours indiquée sur la bouteille ou le sac. Si vous avez des questions sur un produit spécifique, vous pouvez laisser vos doutes ici. Salutations.